行业知识

风机效率到底怎么计算?

2022-12-19 10:31:44 玩球通(中国)

风机效率到底怎么计算?

最近总能听到一些风机厂家讲自己风机的效率可以达到83%-84%,甚至部分水泥企业在篦冷机等招标时也要求风机效率达到83%以上。这跟我之前认识的风机效率一般在80%以内有较大差距。

除了技术进步带来风机效率提升外,我们通常所用的风机效率计算公式和风机厂家的计算公式是否存在差异呢?

1. 风机效率的计算公式?

根据GB19761-2020 《通风机能效限定值及能效等级》,风机效率分为以下几类:

(1)通风机效率,计算公式如下。分母Pr为风机的叶轮机械功率,kW;分子分别为风机进口滞止容积流量,m3/s;通风机压力, Pa;压缩性修正系数。

图片关键词

(2)通风机组效率,分子与上面的计算公式相同,分母为电机的输入功率(而不是叶轮机械功率)。

(3)对于电动机直联式通风机,通风机效率ηr= 通风机组效率/电机效率。

我们通常说的效率指的是通风机组效率,分子是风机做的功;分母是电机的输入功率,即输出到驱动装置的功率,也就是我们抄表所得的功率。

在电机输入功率和叶轮功率之间还差着:

电机轴功率,即驱动装置的轴功率;通风机轴功率,即驱动装置输出到通风机轴的机械功率,当通风机直接驱动时电机的轴功率等于通风机轴功率。其它情况下,通风机轴功率等于电机轴功率×传动效率。

也就是说:电机输入功率>电机轴功率≥通风机轴功率>叶轮功率

基于这些功率(分母)所得的风机效率分别被称为:

总效率(或通风机组效率)<通风机电机轴效率≤通风机轴效率<通风机效率

很多风机厂家讲到的风机效率指的是标准里面的通风机效率,在这几种效率里面属于最高的效率;而我们在现场说的风机效率,是基于电机输入功率所得,为总效率或通风机组效率,属于最低的效率。

2. 计算方法

如公式(1)所述,要想计算风机效率,除了分母外,还是确定分子的几项数据。

a. Pf 通风机压力,为通风机出口滞止压力 — 通风机入口滞止压力。当风速较低时,滞止压力非常接近表压、大气压和动压之和,也就是我们通常说的总压。表压指的就是静压,在篦冷机风机入口为负值,在篦冷机风机出口为正值。因此,通风机压力为出口总压 — 入口总压。

图片关键词

b. qvsg1 通风机进口滞止容积流量,也就是入口的风量,m3/s。注意:是风机入口的风量,而不是出口的风量。

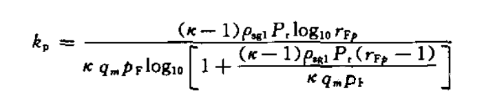
c. kp压缩性修正系数。计算公式比较复杂,如下所示。在平时的计算中,我们都不考虑,但是根据标准需要考虑该系数。其中,对于篦冷机风机来说该数据大约在0.96-0.99之间,其中静压越大的风机压缩系数越小,比如固定端的风机大约在0.96,而二段的风机大约在0.985。对于风机效率的计算是有比较大的影响的。

图片关键词

基于此,我们就能计算出通风机的效率。


总之,与常规计算相比,风机效率计算中分子为入口风量×出口与入口的总压差×压缩形修正系数的乘积;分母为叶轮功率(所得的结果为通风机效率)或者电机的输入功率(所得的结果为通风机组效率)。


首页
产品
新闻
联系